In ihrer Ausgabe 8/2025 untersucht Finanztest den Wohnungsmarkt in 400 deutschen Städten und Landkreisen. Bei der Analyse greift Finanztest erneut auf die Daten der vdpResearch zurück.
Die Kaufpreise steigen wieder, die Mieten werden immer teurer und die Bauzinsen haben sich stabilisiert: Ist jetzt der richtige Zeitpunkt für den Kauf der eigenen vier Wände? Die diesjährige Analyse der Immobilienpreise deutet darauf hin, dass derzeit mancherorts die Gelegenheit für einen Immobilienkauf tatsächlich günstig ist.
Lesen Sie hier mehr.
| Ein- und Zweifamilienhäuser: | 7,0 % |
| Eigentumswohnungen: | 5,9 % |
| Mehrfamilienhäuser: | 6,2 % |
| Büroimmobilien: | 9,6 % |
| Handelsimmobilien: | -0,2 % |
| Lager-Logistik-Immobilien: | 3,7 % |
Danach sind über das ganze Land betrachtet die Preise für Büroimmobilien am stärksten gestiegen, gefolgt von Ein- und Zweifamilienhäusern. Am unteren Rande rangieren Handelsimmobilien, die als einzige Objektart bundesweit leicht nachgaben. Über diese objektartspezifischen Unterschiede hinaus sind erhebliche regionale Differenzen festzustellen. Als Beispiel dient die folgende Karte.
Dort ist auf Kreisebene für 2019 die prozentuale Veränderung der Preise für Ein- und Zweifamilienhäuser ausgewiesen.

Dabei sind die in der Karte zum Ausdruck kommenden Wachstumsunterschiede vor allem soziodemografischen Einflüssen geschuldet, was an der nachstehenden Abbildung abzulesen ist.

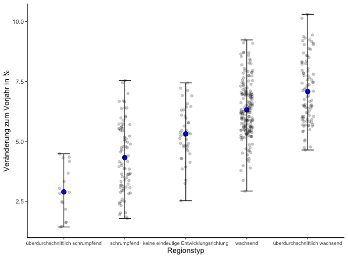
Die Abbildung stellt die Verteilung der Preisänderungsraten der 401 Stadt- und Landkreise für Ein- und Zweifamilienhäuser aufgeteilt nach den unterschiedlichen Schrumpfungs- und Wachstumsregionen (1) anhand von Intervallen dar. Diese stellen die Spannweite, gemessen als Differenz zwischen der höchsten und niedrigsten Wachstumsrate in der jeweiligen Region dar. Die durchschnittliche Wachstumsrate ist als blauer Punkt eingezeichnet. Die grauen Punkte stellen die Wachstumsraten der Stadt- und Landkreise dar, welche in diese Kategorie fallen.
(1) Die Einteilung der einzelnen Stadt- und Landkreise in Wachstumsregionen erfolgtdurch das Bundesamt für Bau-, Stadt- und Raumforschung (BBSR).
Es zeigt sich, dass die Preisentwicklung mit durchschnittlich 2,8% in überdurchschnittlich schrumpfenden Regionen deutlich schwächer ausfällt, als z.B. in Regionen die keine eindeutige Entwicklungstendenz aufzeigen. Hier sind die Preise durchschnittlich um 5,3% gestiegen. Am höchsten ist die Preisänderung mit durchschnittlich 5,8% in Regionen die überdurchschnittlich wachsend sind. Mittlerweile ermittelt die vdpResearch zum zehnten Mal die regionale Immobilienpreisentwicklung. Die Ergebnisse werden von mehr als 90 % der in Deutschland tätigen Kreditinstitute zur Überwachung ihrer Immobilienwerte nach Artikel 208 (3) der Capital Requirement Regulation (CRR) verwendet. Danach müssen die Werte von Gewerbeimmobilien mindestens einmal im Jahr und die von Wohnimmobilien alle drei Jahre überwacht werden, wenn sie als Kreditsicherheit fungieren.